عن خبرني
أعلن معنا
التواصل
الخميس: 11 ديسمبر 2025
الرئيسية
نبض الشارع
أسواق
ميادين رياضية
فلسطين المحتلة
العالم
مجلس الأمة
دنيا
أضواء
نبض الشارع
حوادث
فلسطين المحتلة
قضايــا
مجلس الأمة
أسواق
العالم
أخبار الخليج العربي
ميادين رياضية
شرفات
بي بي سي عربية
عيون و آذان
جامعات ومدارس
تكنولوجيا وسيارات
أضواء
مناسبات
دنيا
لمسات
خاص بخبرني
لقطات
تريند
مع الله
وظائف
دنيا
سحب عصائر شهيرة من الأسواق الأمريكية بسبب مخاطر صحية
2025-04-29 04:15
دنيا
مقبرة نجمية تتحرك بسرعة صادمة وتحير العلماء
2025-04-28 23:15
أخبار الخليج العربي
الأسواق الخليجية تختتم تعاملات الأحد على تباين
2025-04-27 21:58
أسواق
الأردن.. توفير 100 ألف أسطوانة غاز مركبة بلاستيكية بالأسواق نهاية حزيران
2025-04-26 12:29
أسواق
رسوم ترمب تُهدد مكانة (صُنع بفرنسا) في الأسواق الأمريكية
2025-04-21 18:00
أضواء
كتلة الأحزاب الوسطية النيابية تزور (الأسواق الحرة الأردنية)
2025-04-20 17:45
أسواق
استقرار أسعار الذهب بالأردن بعد قفزة قياسية في الأسواق
2025-04-20 08:28
أسواق
شركة الأسواق الحرة الأردنية تخصص 5٪ من أرباحها للمسؤولية المجتمعية لثلاث سنوات
2025-04-19 10:44
أضواء
الأسواق الحرة الاردنية تحتفل بيوم العلم
2025-04-16 15:19
أسواق
النفط يتراجع مجددا وسط تقلبات الأسواق وتصعيد الرسوم الأمريكية على الصين
2025-04-11 02:41
شرفات
تحرك قضائي لانتصار: 5 آلاف جنيه لا تكفي أطفالي
2025-04-10 18:37
دنيا
سحب رقائق بطاطا شهيرة من الأسواق الأميركية بسبب مكوّن خطير
2025-04-08 16:27
أسواق
صعود ثم انهيار.. شائعات تعليق رسوم ترامب تهز الأسواق
2025-04-07 19:18
العالم
ترمب ردا على تراجع الأسواق المالية: أميركا أصبحت أقوى بكثير
2025-04-07 08:40
فلسطين المحتلة
الدفاع المدني بغزة: الاحتلال يستهدف فرقنا ونتحرك بصعوبة
2025-04-06 20:29
أسواق
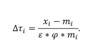
معادلة لاتينية استخدمها ترمب لفرض الرسوم الجمركية تهز الأسواق
2025-04-06 11:28
أخبار الخليج العربي
تحرك كويتي لاسترداد المساعدات المالية من مزوري الجنسية
2025-04-05 09:54
أسواق
موجة استنكار عالمية لرسوم ترمب الجمركية.. والأسواق تهتز
2025-04-03 08:22
أسواق
الأسواق العالمية تهبط.. وقطاع السيارات يتصدر الخاسرين
2025-03-27 13:04
نبض الشارع
حسان: العدوان على غزة تجاوز الإدانة ويستدعي تحركاً دولياً فورياً
2025-03-24 12:07
٢
٣
٤
٥
٦
٧
٨
٩
١٠
آخرالاخبار
الأخبار الاكثر مشاهدة
نتائج الجولة السادسة من دوري الابطال وترتيب الفرق
ميادين رياضية
2025-12-11 01:35
بالعلامة الكاملة .. آرسنال يواصل الانتصارات في دوري ...
ميادين رياضية
2025-12-11 01:15
السيتي يطيح بالريال في البرنابيو
ميادين رياضية
2025-12-11 01:12
تقارير مصرية : الأهلي وافق على شروط يزن النعيمات وخط...
ميادين رياضية
2025-12-11 01:09
وفاة طالب بمدرسة يثير ضجة في مصر .. ووزارة التعليم ت...
دنيا
2025-12-11 00:49
من هو متعب البرغش الذي أفطرت السعودية ودول أخرى بسببه؟
أخبار الخليج العربي
2025-03-31 03:55:30
5 دول تعلن الإثنين أول أيام عيد الفطر 2025 ( تحديث )
العالم
2025-03-29 16:18:27
تقرير. . . مشاعر الحزن تسيطر على الأردنيين
نبض الشارع
2025-10-13 21:03:08
بعد كشف السرقة المليونية.. 100 دينار من طلال أبو غزا...
نبض الشارع
2025-06-30 19:11:31
شكوى للمدعي العام ضد الإعلامي الأردني الغرايبة
خاص بخبرني
2025-02-25 15:31:50