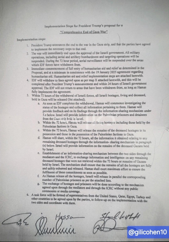
خبرني - نشرت وسائل إعلام أمريكية وثيقة قالت إنها تتضمن المحاور الأساسية الستة التي وُقّعت عليها الأطراف الثلاث: حركة حماس، والحكومة الإسرائيلية، والولايات المتحدة الأمريكية.
وتكشف الوثيقة الإجراءات التي يُفترض أن تتخذها كلٌّ من إسرائيل وحماس خلال الأيام القادمة.
وتنص الوثيقة على ما يلي :
1. إعلان إنهاء الحرب
• يعلن الرئيس الأمريكي دونالد ترامب رسميًا نهاية الحرب في غزة، وتلتزم الأطراف بتنفيذ الخطوات اللازمة لذلك.
2. وقف فوري للعمليات العسكرية
• تبدأ الهدنة فور موافقة الحكومة الإسرائيلية.
• تُوقَف جميع العمليات العسكرية، بما في ذلك القصف الجوي والمدفعي، كما يُعلَّق الرصد الجوي في المناطق التي تنسحب منها القوات الإسرائيلية خلال الـ72 ساعة الأولى.
3. إدخال المساعدات الإنسانية
• يُسمح بدخول فوري وكامل للمساعدات الإنسانية والإغاثية إلى قطاع غزة، وفق الاتفاق الموقع في 19 يناير 2025.
• تُرفق مع الوثيقة خطة تفصيلية للإغاثة في ملحق خاص.
4. انسحاب الجيش الإسرائيلي
• تسحب إسرائيل قواتها إلى خطوط محددة (مرفقة بخريطة) خلال 24 ساعة من إعلان ترامب وبعد موافقة الحكومة الإسرائيلية.
• تتعهد إسرائيل بعدم العودة إلى المناطق التي انسحبت منها طالما أن حماس ملتزمة بالاتفاق.
5. تبادل الأسرى والرهائن خلال 72 ساعة
• خلال 72 ساعة من انسحاب الجيش الإسرائيلي، يتم الإفراج عن جميع الرهائن الإسرائيليين — الأحياء والقتلى — وفق القوائم المرفقة.
• تتضمن الإجراءات التفصيلية ما يلي:
(أ) تبدأ حماس بالتحقيق في أوضاع الرهائن وتسليم المعلومات إلى إسرائيل عبر آلية مشتركة.
(ب) خلال 72 ساعة، تُفرج حماس عن جميع الرهائن الأحياء، بما في ذلك المحتجزين لدى فصائل فلسطينية أخرى.
(ج) تُسلّم حماس رفات القتلى الإسرائيليين في حوزتها وفي حوزة الفصائل الأخرى.
(د) تتبادل حماس وإسرائيل المعلومات حول رفات الضحايا الفلسطينيين والإسرائيليين عبر آلية تنسيق مع اللجنة الدولية للصليب الأحمر (ICRC).
(هـ) تُنشأ آلية لتبادل المعلومات بشأن الرهائن المفقودين أو غير المسترجعين خلال 72 ساعة.
(و) تُطلق إسرائيل سراح الأسرى الفلسطينيين بشكل متزامن مع الإفراج عن الرهائن الإسرائيليين.
(ز) يجري تبادل الأسرى والرهائن بسرية تامة دون مراسم أو تغطية إعلامية.
6. تشكيل لجنة متابعة دولية
• تُنشأ قوة عمل مشتركة تضم ممثلين عن الولايات المتحدة وقطر ومصر وتركيا، إضافة إلى دول أخرى يتم الاتفاق عليها، لمتابعة تنفيذ الاتفاق والتنسيق بين الطرفين.




